我国胃癌高发,胃癌前病变是胃癌发生的关键转化阶段,也是理解胃癌中医“治未病”现代科学内涵的重要切入点。从人群中精准筛查胃癌前病变患者并进行及时干预,对于阻断胃癌发生、防治胃炎癌转化具有重要意义。当前的内镜筛查方式由于成本高、难以大规模普及,导致对胃癌前病变患者的覆盖度有限。因此,如何利用人工智能前沿技术,系统解析胃癌前病变的中西医临床数据,开发简便高效、面向大规模人群的智能筛查工具,提升胃癌前病变内镜筛查的针对性与覆盖度?这既是胃癌前病变精准筛查与诊疗的痛点,也是胃炎癌转化中西医智能与精准预警的难点。
清华大学北京市中医药交叉研究所所长、欧洲科学与艺术院院士李梢课题组长期致力于从中西医“表型-组织-细胞-分子-药物”多层次网络的角度开展胃炎癌转化机理及防治研究,率先建立了胃癌极早期中西医智能与精准防治体系。2026年1月,李梢课题组在《柳叶刀》子刊eClinicalMedicine(中科院1区,TOP期刊)上发表了题为“Development and validation of an interpretable machine learning model for non-invasive screening of precancerous gastric lesions using symptom and lifestyle data: a multicentre cohort study”(“基于症状和生活方式数据的可解释机器学习模型在胃癌前病变无创筛查中的开发与验证:一项多中心队列研究”)的研究论文,创建了首个融合患者中西医临床症状信息与生活方式数据的可解释智能筛查模型,实现胃癌前病变的高精度、非侵入筛查。经多中心临床队列及自然人群队列验证,相比指南推荐的筛查策略,该模型显著提升了胃癌前病变的筛查精度,并大幅降低了筛查成本,为提升胃癌前病变内镜筛查的针对性与覆盖度、推动胃炎癌转化中西医智能与精准预警提供了新工具、新方案。

图1. “基于症状和生活方式数据的可解释机器学习模型在胃癌前病变无创筛查中的开发与验证:一项多中心队列研究” 论文
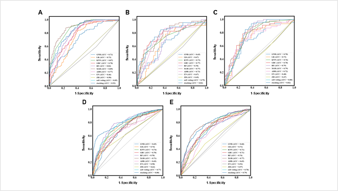
本文首先在胃癌前病变相关中西医临床表型数据挖掘以及可解释性智能筛查模型构建上取得了重要突破。首先,针对当前胃癌前病变非侵入筛查数据不足难题,本文基于前期构建的胃炎癌转化临床队列,开展了以常规胃癌风险因素、中西医临床症状以及生活方式数据为核心的中西医临床表型数据采集与智能分析,构建出胃癌前病变相关中西医非侵入式临床表型大数据。在此基础上,本文创新性地构建了集成7种基础机器学习模型的“堆叠集成学习” 框架,通过对中西医表型数据进行网络解析,系统发掘出15个与胃癌前病变风险呈显著相关的中西医表型特征,包括4个常规风险因素、11个中西医临床症状特征及生活方式特征,并构建出了融合这些表型特征的胃癌前病变无创筛查AI模型。基准分析表明,该模型通过堆叠集成学习,筛查性能显著优于单种机器学习模型,同时也有效克服了单模型常存在的过拟合与预测偏差问题。尤为重要的是,该模型还通过引入了SHAP分析,实现了模型预测依据与预测结果的临床可解释性分析,克服了当前大多数疾病风险筛查AI模型所面临的“预测黑箱”问题,显著提升了该模型的临床信任度。

图2. 研究对象与数据集划分流程图
进而,团队牵头在皖南医学院弋矶山医院、中日友好医院等多家医疗机构多中心临床队列,以及福建胃癌高发区自然人群队列中开展了该模型的外部验证分析,发现其具有以下几方面的显著优势:
1)精度高:经1751例的队列人群验证,该模型对胃癌前病变的筛查精度(AUC值)相比指南推荐筛查策略平均提升50.5%;
2)成本低:与指南推荐筛查策略相比,该模型可使每检出1例胃癌前病变的平均成本降低37.1%,并减少37.9%的不必要内镜检查;
3)易推广:该模型所纳入的风险筛查因素均为非侵入、可客观量化且具有明确临床指导意义,同时该模型不依赖于现有临床设备,使得该模型更容易在大规模社区人群中推广应用。
总之,该模型提供了一种全新的高精度、低成本、可规模化推广的胃癌前病变一级筛查工具,为临床内镜检查提供高质量前置分流方案,推动胃癌前病变中西医结合精准筛查与高效防治。

图3. 机器学习模型在五个数据集上对胃癌前病变风险预测的诊断性能
值得一提的是,该研究通过对胃癌前病变表型数据的智能解析,发现气虚、湿热等相关中医临床典型症状是胃癌前病变风险筛查的显著因素之一。这不仅为《黄帝内经·灵枢》所记载的“脾胃之间,寒温不次,…,大聚乃起”提供了科学依据,丰富了中医理论的科学内涵,也为揭示胃癌前病变向胃癌转化临界状态的中医核心病机与中药干预机制提供了重要突破口。
清华大学自动化系博士王岚、南京大学机器人与自动化学院助理研究员唐开强、清华大学自动化系副研究员张鹏为该文的共同第一作者,福建医科大学公共卫生学院陈军博士、皖南医学院弋矶山医院李艳主任、中日友好医院杜时雨主任等参与了临床研究,李梢所长为论文通讯作者。该研究得到国家自然科学基金专项项目、国家中医药管理局中医药多学科交叉创新团队、教育部学科突破先导项目等项目资助。(王强)

